首页
关于我们
生产设备
危化证
产品
医药中间体
杂环化合物
修饰环糊精
植物调节剂
定制合成
新闻
常见问题
联系我们
简体中文
English
电话:021-69895597
邮箱:
sales@tocosynth.com
上海市奉贤区联合北路215号2幢1955室 201417
首页
»
产品
»
修饰环糊精
产品分类
医药中间体
杂环化合物
修饰环糊精
植物调节剂
定制合成
修饰环糊精
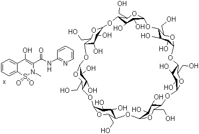
吡罗昔康倍他环糊精
加入询价篮
更多 »
α-环糊精
加入询价篮
更多 »
β-环糊精
加入询价篮
更多 »
伽马环糊精
加入询价篮
更多 »
羟丙基-α-环糊精
加入询价篮
更多 »
羟丙基-β-环糊精;HPBCD
加入询价篮
更多 »
1
2
3
4
»
电话:
021-69895597
电子邮件:
sales@tocosynth.com
地址:
上海市青浦区练塘镇练新路33号三层D区327室
关于我们
上海拓克化学科技有限公司是一个专业生产医药中间体及农药中间体方面的研发型公司,主要产品有修饰环糊精、喹啉衍生物、吡啶衍生物、农药中间体等,拥有完整、科学的质量管理体系,产品主要销往欧、美、韩日等发达地区,同时与国内的高校、科研机构及制药公司建立了合作关系。
快速链接
首页
关于我们
产品
消息
常问问题
联系我们
隐私政策
最新消息
吡咯并喹啉醌二钠盐(PQQ二钠盐)应用范围扩展 发酵法生产规模不断扩大
十月 10,2024
塔尖上的聚酰亚胺纤维及复合材料
九月 26,2024
订阅
注册我们的邮箱以便接收最新资讯
沪公网安备31011802005061号
1741201151
739486509
WhatsApp